板式換熱器的選型計算是一個復雜的過程,涉及到多個參數和計算方法。以下是一些基本的步驟和公式,可以幫助您進行選型計算:1.確定必要的參數:您需要知道總傳熱量(單位:kW)、一次側和二次側的進出口溫度、允許的壓力降、更高工作溫度和更大工作壓力。2.計算熱負荷:如果已知傳熱介質的流量、比熱容以及進出口的溫度差,總傳熱量可以通過以下公式計算得出:Q=m?Cp?ΔT
板式換熱器的選型計算是一個復雜的過程,涉及到多個參數和計算方法。以下是一些基本的步驟和公式,可以幫助您進行選型計算:
1.確定必要的參數
您需要知道總傳熱量(單位:kW)、一次側和二次側的進出口溫度、允許的壓力降、更高工作溫度和更大工作壓力。
2.計算熱負荷
如果已知傳熱介質的流量、比熱容以及進出口的溫度差,總傳熱量可以通過以下公式計算得出:
Q=m?Cp?ΔT
其中Q是熱負荷(kW),m是質量流速(kg/s),Cp是比熱(kJ/kg·K),ΔT是介質的進出口溫度差(K)。
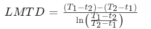
3.計算對數平均溫差(LMTD)
對數平均溫差是換熱器傳熱的動力,其計算公式取決于流體的流動方式(逆流或并流)。逆流時的LMTD計算公式為:

其中T1和T2分別是熱流體的進出口溫度,t1和t2分別是冷流體的進出口溫度。
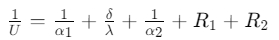
4.計算總傳熱系數
總傳熱系數U 可以用來衡量換熱器傳熱阻力,計算公式為:

其中α1和α2是兩側的換熱系數,δ是傳熱板片的厚度,λ是板片的導熱系數,R1和 R2是兩側的污垢系數。
5.計算傳熱面積
傳熱面積A可以通過以下公式計算:
A=Q/(U?LMTD)
6.考慮壓力降和污垢系數
壓力降直接影響到板式換熱器的大小和成本,而污垢系數則影響傳熱效率。
7.使用設計軟件
現在有許多設計軟件可以幫助進行板式換熱器的選型計算,如Thermol V8.0、SWEP的SSP軟件包等,這些軟件可以提供更準確的計算和選型建議。
請注意,這些步驟和公式僅提供了一個基本的框架,實際的選型計算可能需要考慮更多的因素和細節。如果您需要更詳細的計算或建議,建議使用計算軟件或咨詢換熱器制造商。